Vetëm disa ditë më parë Prokuroria e Tiranës mori të pandehur 4 zyrtarë të Partisë Demokratike, përfshirë këtu edhe vetë kreun e PD Lulzim Basha për lobimin në SHBA.
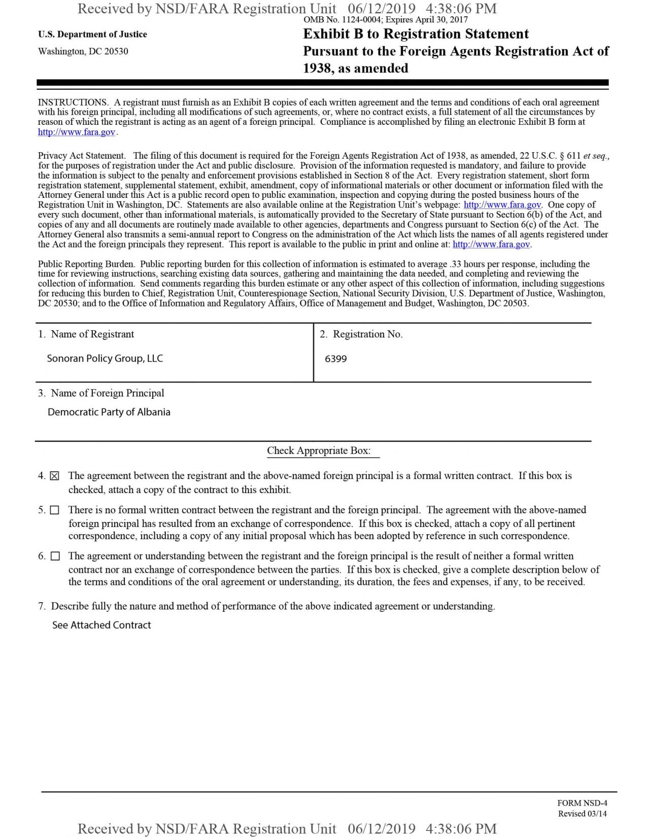
Por sot mësohet se Partia Demokratike ka firmosur një kontratë të re lobimi me kompaninë amerikane ‘Sonoran Policy Group’.
Përmes kësaj kontrate të nënshkruar më datë 11 qershor 2019, me vlerë 10 mijë dollarë në muaj dhe me një total prej 40 mijë dollarësh, publikuar nga Birn, PD synon të ndërtojë një strategji në luftën kundër drogës dhe krimit të organizuar në Shqipëri. Thënë ndryshe, PD përmes këtij lobimi kërkon të godasë qeverinë e drejtuar nga Rama.
Mirëpo nga një kërkim rezulton se kompania e zgjedhur nga Basha për nënshkrimin e kësaj kontrate që mban firmën e Gazmend Bardhit, sekretarit të Përgjithshëm të PD, është e njëjta kompani e cila një vit më parë ka lobuar për një shtetas serb nën akuzë.
Bëhet fjalë për Slobodan Tesic, i futur në ‘listën e zezë’ të SHBA-ve. Tesic njihet si abuzues i të drejtave të njeriut dhe një ndër tregtarët më të mëdhenj të armëve dhe municioneve në Ballkan.
Pikërisht për t’i hequr emrin nga lista e zezë, loboi kompania ‘Sonoran Policy Group’ me të cilën tashmë ka nënshkruar kontratën e rradhës PD-ja.
“Konsulenti do të punojë me opozitën shqiptare për të ndërtuan një strategji kundër narkotikëve dhe kundër krimit të organizuar, si dhe të mundësojë takime dhe ndërveprime me zyrtarë të administratës, kongresit dhe pushtetit ekzekutiv në SHBA,” shkruhet në kontratë.
“Konsulenti gjithashtu do të punojë me agjencitë vendore në SHBA dhe ato ndërkombëtare për të luftuar epideminë e krimit të organizuar në Shqipëri,” thuhet më tej në kontratë.
KONTRATA ME PD që mban firmën e Gazmend Bardhit:












