Nga 1 janari nisi zbatimin taksa e re e shtëpive, që do të paguhet 0,05 për qind e vlerës së shtëpive. Taksa për kryeqytetin do të paguhet në faturën e ujit të pijshëm. Ministri i Financave dhe Ekonomisë, Arben Ahmetaj, më herët deklaroi se në kadastrën e pronave janë hedhur të dhënat për 650 mijë shtëpi. Ministri tha se në total në vend janë 1,200,000 mijë prona, ku brenda vitit pritet të përfundojë hedhja e të dhënave edhe për pjesën e mbetur.
“Janë 1,200,000 mijë prona në të gjithë vendin, nga të cilat 650 mijë prona janë hedhur në sistem në mënyrë të detajuar, pra, kush është pronari, sa metra katrorë është prona, zona kadastrale, sa taksohet. Pjesa tjetër, që është diku te 600 mijë deri në 650 mijë prona të tjera, në bazë të metodologjisë, nëse do të regjistrohen 50 prona në ditë, në krye të vitit të gjitha pronat e vendit do të jenë në platformë”, u shpreh ministri Ahmetaj.
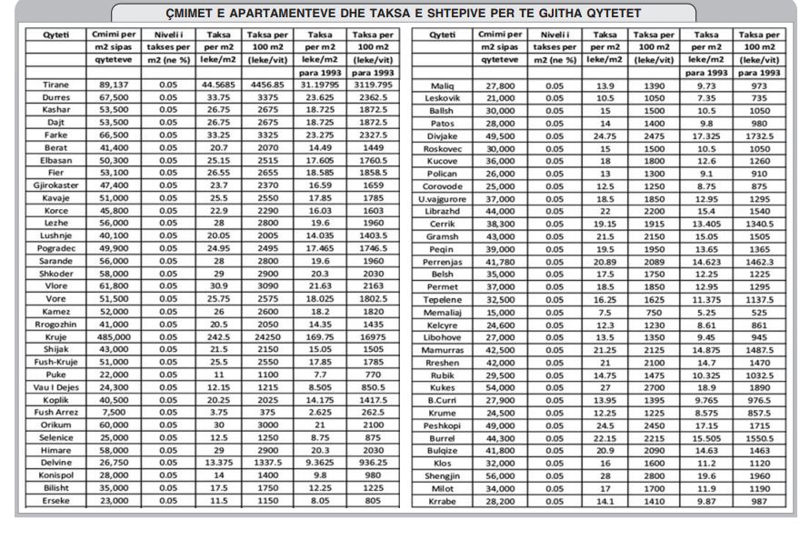
Me llogaritjet që ka bërë Ministria e Financave, për një shtëpi me sipërfaqe 100 metra katrorë shuma e taksës së re që do të paguhet në Tiranë, e llogaritur sipas çmimit mesatar të shtëpisë në vlerën e 89,137 lekë për metër katror është 4,457 lekë.
Gazeta boton edhe një herë të plota tabelat me vlerën e taksës së re së shtëpive për 12 qarqet e vendit. Referuar tabelave zyrtare, sot një familje që banon në një apartament të ndërtuar para ’93 në Tiranë paguan 1500 lekë, kurse për ndërtesat pas ’93 paguhet 3 mijë lekë.
Me taksën e re për një familje që banon në shtëpi para ’93 ngarkesa do të rritet 2,957 lekë, kurse për shtëpitë pas 1993 taksa do të rritet 1,457 lekë. Një familje që banon në një shtëpi me sipërfaqe 100 metra katrorë në qytetin e Durrësit vlera e shtëpisë me çmimet e referencës llogaritet 6,750,000 lekë. Vlera e taksës së re llogaritet 3,375 lekë./panorama

/a.meta










