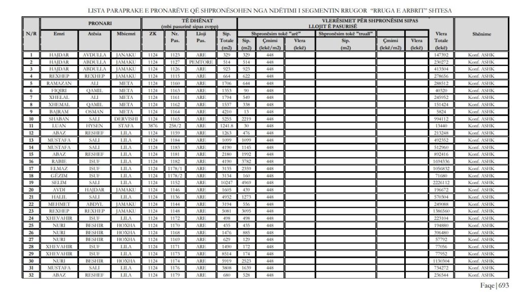
Ministria e Infrastrukturës ka miratuar listën e re të shpronësimeve në kuadër të projektit të Rrugës së Arbrit.
Subjekti kërkues i këtij projekti është ARRSH. Vlera totale paraprake e shpronësimit është 16 milion e 808 mijë e 960 lekë.
Në total, janë 40 pronarë që shpronësohen për një sipërfaqe 37 mijë e 520 metra katrorë. /e.s/













