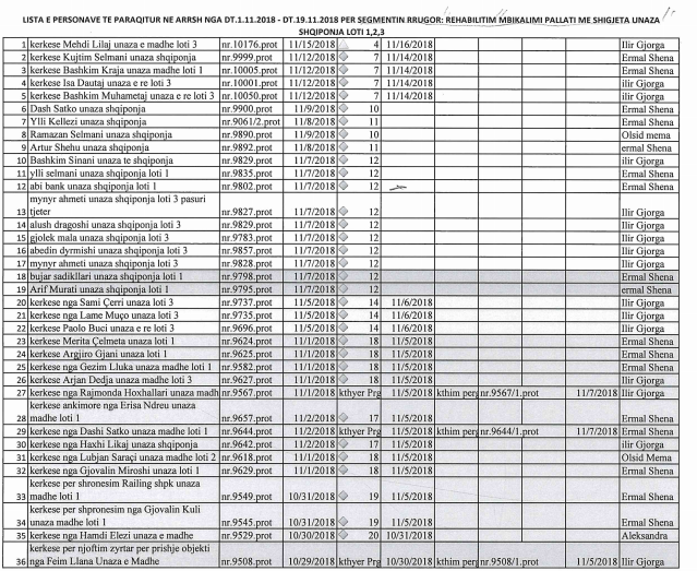
Banorët të cilët preken nga projekti i zhvillimit të Unazës së Madhe kanë vërshuar pranë zyrave të Autoritetit Rrugor Shqiptar për të marrë shpronësimet.
Në një kohë që një pjesë shumë e vogël e banorëve, të nxitur nga Partia Demokratike bllokojnë rrugën, duke shkaktuar një trafik të madh për pjesën tjetër të qytetit, me dhjetëra të tjerë i janë drejtuar ARRSH-së duke nisur procedurat e shpronësimit.
Banorët kanë marrë fillimisht sqarimet e nevojshme dhe më pas kanë nisur menjëherë plotësimin e dokumentacionit që u mundëson atyre shpronësimin e plotë.
Madje, edhe vetë organizatori i protestës së Partisë Demokratike te Unaza e Re, Dorjan Protoduari ka dorëzuar te Autoriteti Rrugor Shqiptar letrat për të nisur procedurat e shpronësimit.
Gjatë këtyre ditëve, Autoriteti Rrugor Shqiptar ka vijuar takime dhe të sqarojë shumicën dërrmuese të banorëve të zonës së Astirit, që preken nga projekti i zgjerimit të Unazës së Madhe. Ata janë pritur personalisht nga drejtori i ARRSH, Afrim Qendro, të cilët kanë marrë informacionin e duhur dhe janë sqaruar për hapat që duhet të ndjekin për t’u shpronësuar./a.ç















