Autoriteti Rrugor Shqiptar ka vijuar gjatë këtyre ditëve të zhvillojë takime dhe të sqarojë shumicën dërrmuese të banorëve të zonës së Astirit, që preken nga projekti i zgjerimit të Unazës së Madhe.
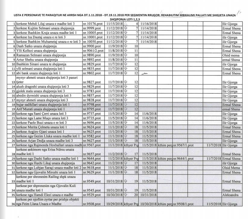
Madje, ajo ka publikuar edhe listën me të gjithë emrat e pronarëve që janë pritur personalisht nga drejtori i ARRSH, Afrim Qendro, të cilët kanë marrë informacionin e duhur dhe janë sqaruar për hapat që duhet të ndjekin për t’u shpronësuar.
Por, ndonëse shumica e banorëve i janë përgjigjur ftesës së ARRSH-së për të biseduar dhe kanë qenë bashkëpunues, një pjesë e vogël kanë bllokuar sërish rrugën, duke shkaktuar një trafik të madh për pjesën tjetër të qytetit, çka acaruar jo pak qytetarët e Tiranës.
/b.d












