Gjykata e Tiranës pushoi të hënën për mungesë provash çështjen e ngritur për falsifikim dokumentesh ndaj kryetarit të Partisë Demokratike të opozitës, Lulzim Basha, dhe dy ish-zyrtarëve të tjerë pranë tij.
Akuza e falsifikimit të dokumenteve ndaj Lulzim Bashës, Arben Ristanit dhe Ilir Dervishajt u rrëzua dje nga gjykata si e pambështetur në prova, ndërsa në nëntor prokuroria u tërhoq nga akuza e pastrimit të parave, që kishte formuluar më herët ndaj tyre.
Deputeti socialist Taulant Balla shprehet se për ta kuptuar dosjen “Basha”, kërkon që të shikohen me kujdes dokumentet e publikuara në faqen zyrtare të Departamentit Amerikan të Drejtësisë.
Sipas tij Basha duhet të hetohet pasi ka përfituar fonde me burime të padeklaruara.
Postimi i plotë:
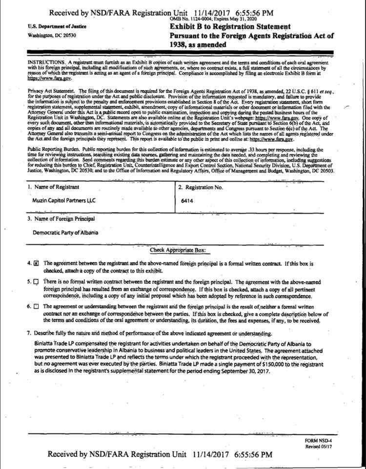
Për ta kuptuar dosjen “Basha”, shikojini me kujdes këto dokumenta të publikuara në faqen zyrtare të Departamentit Amerikan të Drejtësisë (Akti i Rregjistrimit të Agjentëve të Huaj).
A janë këto kontrata të firmosura nga Lulzim Basha me numër pashaporte diplomatike DB1159763?
👉dokumenti i parë (foto)
https://efile.fara.gov/docs/6414-Exhibit-AB-20170331-1.pdf
A janë shërbimet e faturuara në emër të Partisë Demokratike në shumën 675.000 dollarë?
👉dokumenti i tretë (foto)
https://efile.fara.gov/…/6414-Supplemental-Statement-201711…
A deklarohet në dokumentin e katërt se kompania guackë Biniatta Trade do të kompensojë/do të paguajë Muzin për shërbimet e ofruara në emër të Partisë Demokratike?
👉dokumenti i katërt (foto)
https://efile.fara.gov/docs/6414-Exhibit-AB-20171114-2.pdf
Fakti është që Lulzim Basha ka përfituar një shërbim me këto para. Për një shërbim të përfituar me fonde me burime të padeklaruara, a duhet hetuar?
Fakte të reja plotësojnë kushtet për një kallzim të ri!

/a.r










